Смешали 2кг холодной воды при температуре 5°С и горячую воду при температуре 95°С Температура смеси при этом оказалась равна 80°С
Какова масса горячей воды?
Ответы
Ответ дал:
4
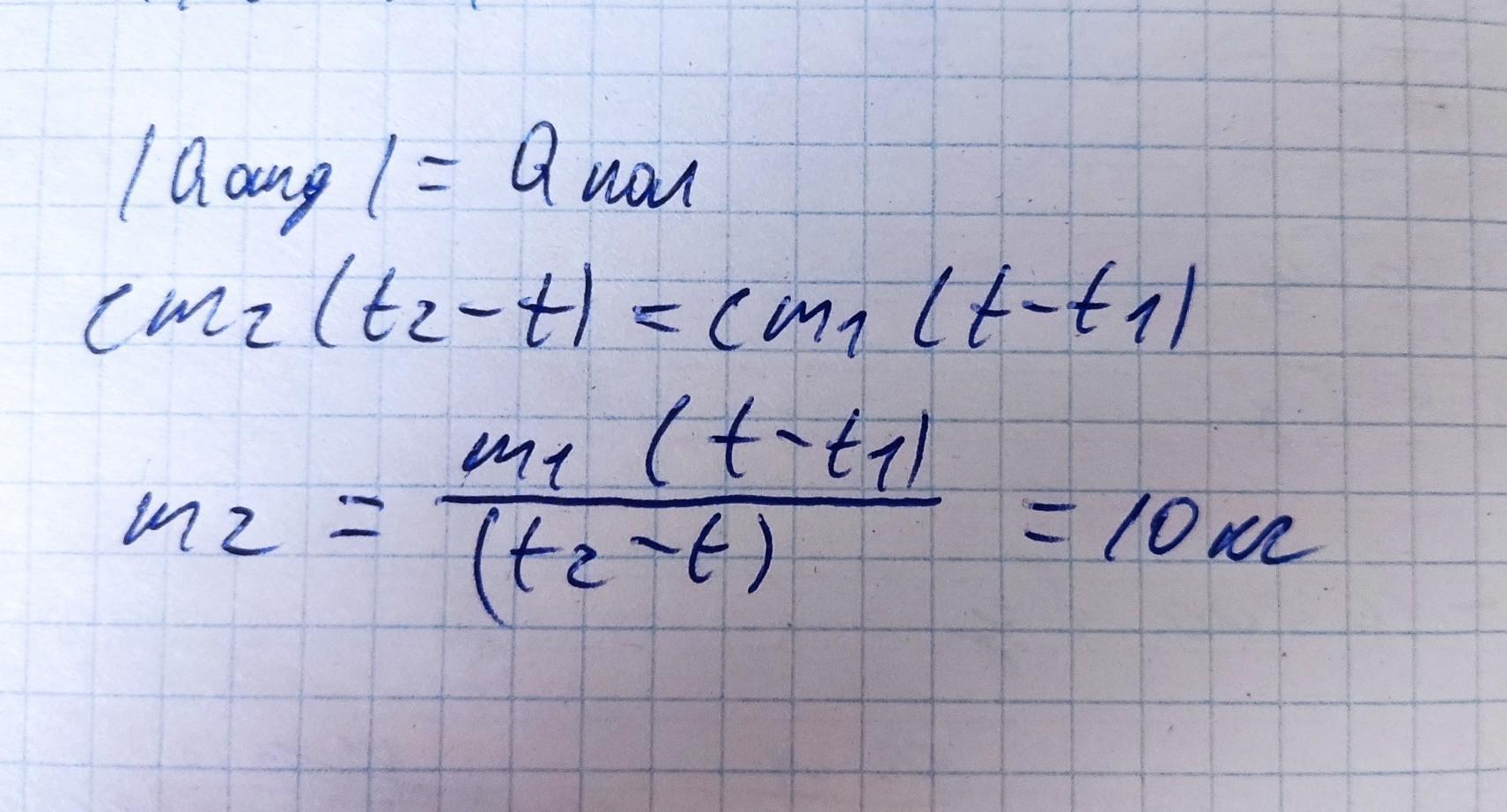
Решение в прикрепленном файле
Приложения:

Аноним:
Боже, я то думал, что уже никто не ответит, реал спасибо
Вас заинтересует
2 года назад
2 года назад
2 года назад
8 лет назад
8 лет назад
9 лет назад