• Предмет: Алгебра
  • Автор: mianord
  • Вопрос задан 7 лет назад

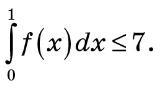
Функцію задано формулою f(x) = a² + 10ax + 4x³, де а - стала

Знайдіть усі значення a, для яких виконується нерівність

Приложения:

Ответы

Ответ дал: bena20193
2

Ответ:

Объяснение:

∫(a² + 10ax + 4x³)dx=

                                        ₁

=(a²x + (10ax²/2) + 4(x⁴/4))=

                                        ⁰

                          ₁

=(a²x + 5ax² + x⁴)=a²+5a+1

                         ⁰  

a²+5a+1≤7

a²+5a-6≤0

По теореме Виета корни a₁=1 ; a₂=-6

решим неравенство методом интервалов

Для этого нанесем корни на числовую ось и определим знак выражения  a²+5a-6 на интервалах. Решением неравенства будет интервал со знаком минус

-------------[-6]-----------[1]------------------->

     +                -                 +

Ответ a∈[-6;1]

                       

Вас заинтересует