Ответы
Ответ дал:
0
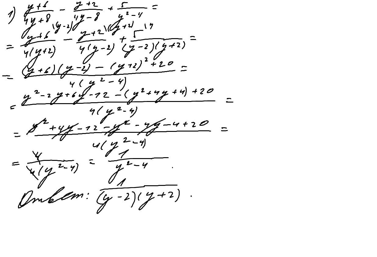
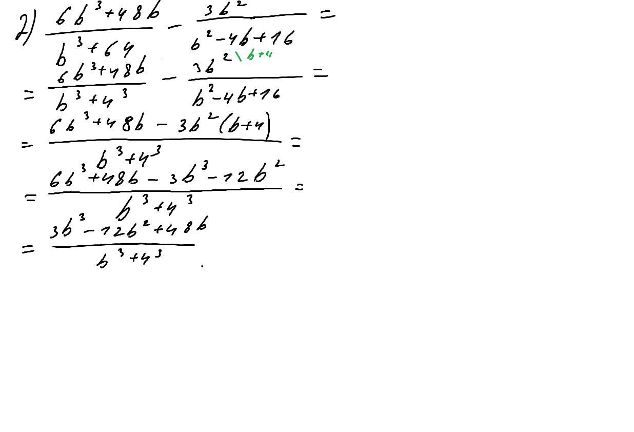
Ответ:
Решение и ответ приведены в прикреплённых файлах.
Пошаговое объяснение:
Приложения:


Вас заинтересует
2 года назад
2 года назад
2 года назад
2 года назад
8 лет назад
8 лет назад
9 лет назад