• Предмет: Алгебра
  • Автор: petrashko453
  • Вопрос задан 7 лет назад

Помогите решить! Отдаю все баллы!
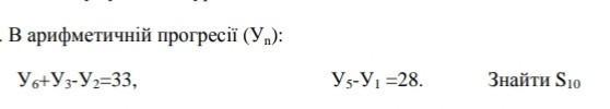
(арифметична прогресія)

Приложения:

Ответы

Ответ дал: ostapenko981
1

Объяснение:

1)y1-4d-y1=28

-4d=28
d=-7

2)у5+d+y1+2d-y1-d=33

y5+2d=33

y5-14=33

y5=47

3)y5=y1+4d

47=y1-28

y1=75

S10=(2y1+9d)/2•10=(2•75-63)/2•10=(150-63)/2•10=87/2•10=43,5•10=435

Вас заинтересует