• Предмет: Математика
  • Автор: alinarapeico
  • Вопрос задан 7 лет назад

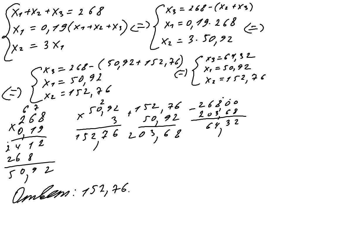
Сумма трёх чисел равна 268. Известно, что первое число составляет 19 % от суммы, а второе число в 3 раза больше первого. Найди третье число.
Второе число:
Ответ:​

Ответы

Ответ дал: ivanivanov200200200
0

Ответ:

Решение и ответ приведены в прикреплённых файлах.

Пошаговое объяснение:

Приложения:
Ответ дал: jekadva
1

Ответ:

Пошаговое объяснение:

268 * 0,19 = 50,92 первое число

50,92 * 3 = 152,76 второе число

268-(50,92+152,76) = 268 - 203,68 = 64,32 третье число

Вас заинтересует