Помогите, пожалуйста, с производными..
Приложения:

rimamo134:
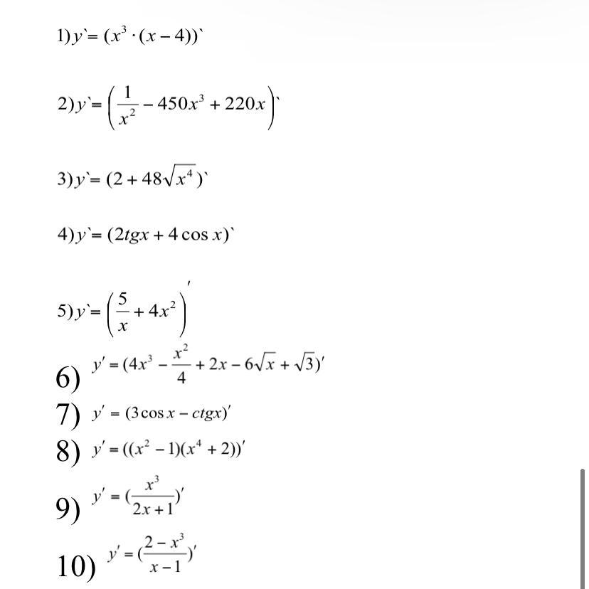
Найти производные
Ответы
Ответ дал:
0
Ответ:в прикреплённом файле
Пошаговое объяснение:
Приложения:



Вас заинтересует
2 года назад
2 года назад
2 года назад
8 лет назад
8 лет назад