Ответы
                                            Ответ дал: 
                                                                                    
                                        
                                            
                                                
                                                
                                                
                                                    2
                                                
                                            
                                        
                                    Ответ:
Производная найдена:
3. 
4. 
Объяснение:
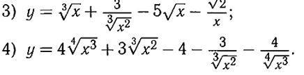
Требуется найти производную.
3.
Преобразуем выражение, используя формулы:
Теперь найдем производную.
Используем формулы:
4.
Делаем аналогично предыдущему заданию.
Преобразуем выражение:
Найдем производную:
Вас заинтересует
                
                        2 года назад
                    
                
                        2 года назад
                    
                
                        2 года назад
                    
                
                        2 года назад
                    
                
                        8 лет назад
                    
                
                        9 лет назад
                    
                
                        9 лет назад
                    
                