• Предмет: Математика
  • Автор: Valeria0802
  • Вопрос задан 7 лет назад

СРООООЧНОООО ПОМОГИТЕ ПОЖАЛУЙСТА! ДАЮ 20 БАЛЛОВ!

Приложения:

Ответы

Ответ дал: ostapenko981
0

Пошаговое объяснение:

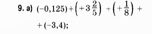
-0,125+3,4+0,125-3,4=0

Вас заинтересует