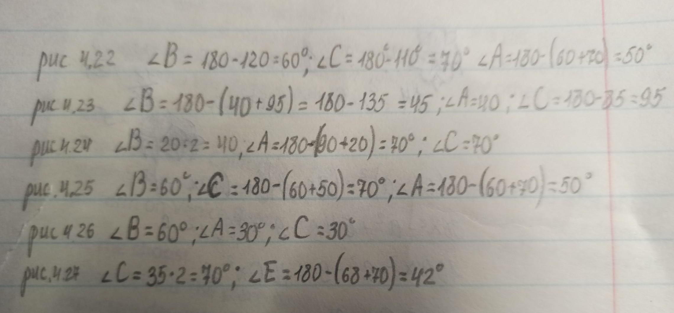
Очень срочно пожалуйста Во всех задачах нужно найти внутренние углы треугольника В задаче 4.25 прямые АВ и СД параллельны
Приложения:


Ответы
Ответ дал:
1
Ответ:
рис.4.22 В=60°, С=70°,А=50°
рис.4.23В=45°, А=40°, С=95°
рис4.24 В = 40°,А=70° С=70
рис4.25В=60, С=70 А=50
рис4.26 В=60,А=30, С=30
рис4.27С=70,Е=42
Приложения:

Вас заинтересует
2 года назад
2 года назад
2 года назад
8 лет назад