Ответы
Ответ дал:
0
Ответ:
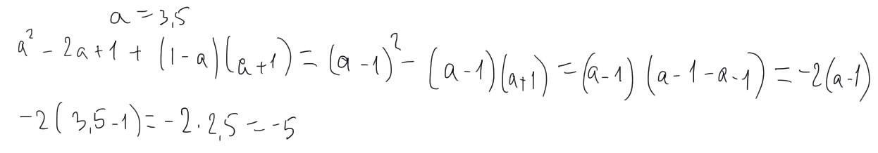
как-то так
Объяснение:
Приложения:

Вас заинтересует
2 года назад
2 года назад
2 года назад
2 года назад
9 лет назад