• Предмет: Алгебра
  • Автор: nemo1661
  • Вопрос задан 7 лет назад

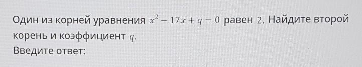
пожалуйста подскажите. через теорему Виета ​

Приложения:

Ответы

Ответ дал: Аноним
0

Ответ:

вот ответ сделай мой ответ лучшим

Объяснение:

 {x}^{2}  - 17x + q = 0 \\  {x}^{2}  - 17x + q -  {x}^{2} + 17x = 0 -  {x}^{2}   + 17x \\ q =  { - x}^{2}  + 17x

Вас заинтересует