• Предмет: Алгебра
  • Автор: Voloda200123
  • Вопрос задан 7 лет назад

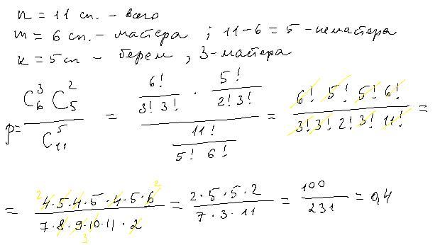
В группе из 11 спортсменов шесть мастеров спорта. Найти вероятность того, что из пяти случайно отобранных спортсменов трое - мастера спорта

Ответы

Ответ дал: dashulka22222
0

Ответ:

0,4

Объяснение:

Приложения:
Вас заинтересует