• Предмет: Алгебра
  • Автор: ritaviter85
  • Вопрос задан 7 лет назад

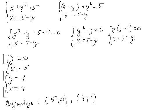
Розв'яжіть системну нерівність{х+у в 2 степені =5 {х=5-у

Ответы

Ответ дал: dashulka22222
0

Ответ:

(5;0), (4;1)

Объяснение:

Приложения:
Вас заинтересует