• Предмет: Алгебра
  • Автор: coken29266
  • Вопрос задан 7 лет назад

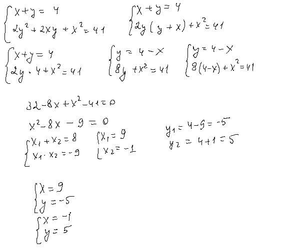
помогите решить даю 45б​

Приложения:

Ответы

Ответ дал: dashulka22222
1

Ответ:

(9;-5), (-1;5)

Объяснение:

Приложения:

coken29266: спасибо
dashulka22222: рада помочь
Вас заинтересует