Ответы
Ответ дал:
1
Ответ:
Объяснение:
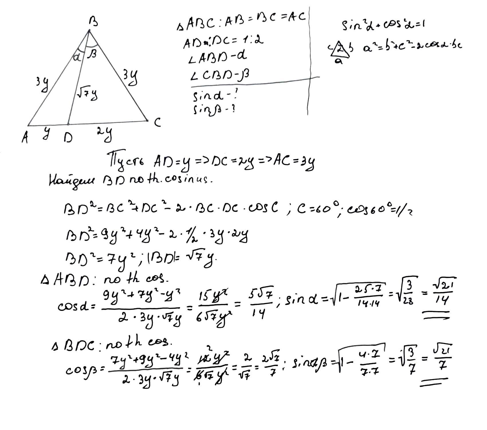
Смотрите в фотографии
Использованы теорема косинусов и главное тригонометрическое тождество
Приложения:

FaerVator:
спасибо вам огромное , быстро решаете)
Вас заинтересует
2 года назад
2 года назад
2 года назад
2 года назад
8 лет назад
8 лет назад
9 лет назад
9 лет назад