Ответы
Ответ дал:
1
Ответ:
решал квадратное уравнение, если что, по теореме Виета
Приложения:

Ответ дал:
1
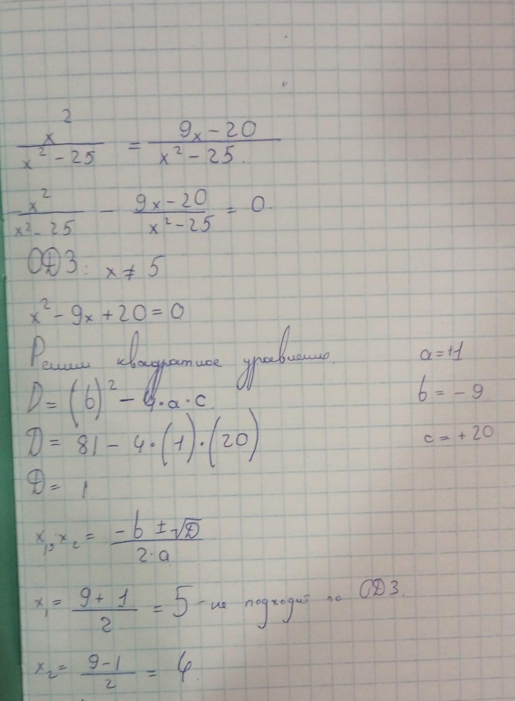
Вот решение:..........
Приложения:

Вас заинтересует
2 года назад
2 года назад
2 года назад
2 года назад
8 лет назад
9 лет назад
9 лет назад