• Предмет: Математика
  • Автор: tokab6383
  • Вопрос задан 7 лет назад

помогите 1031 6 класс матем​

Приложения:

Ответы

Ответ дал: Deez12
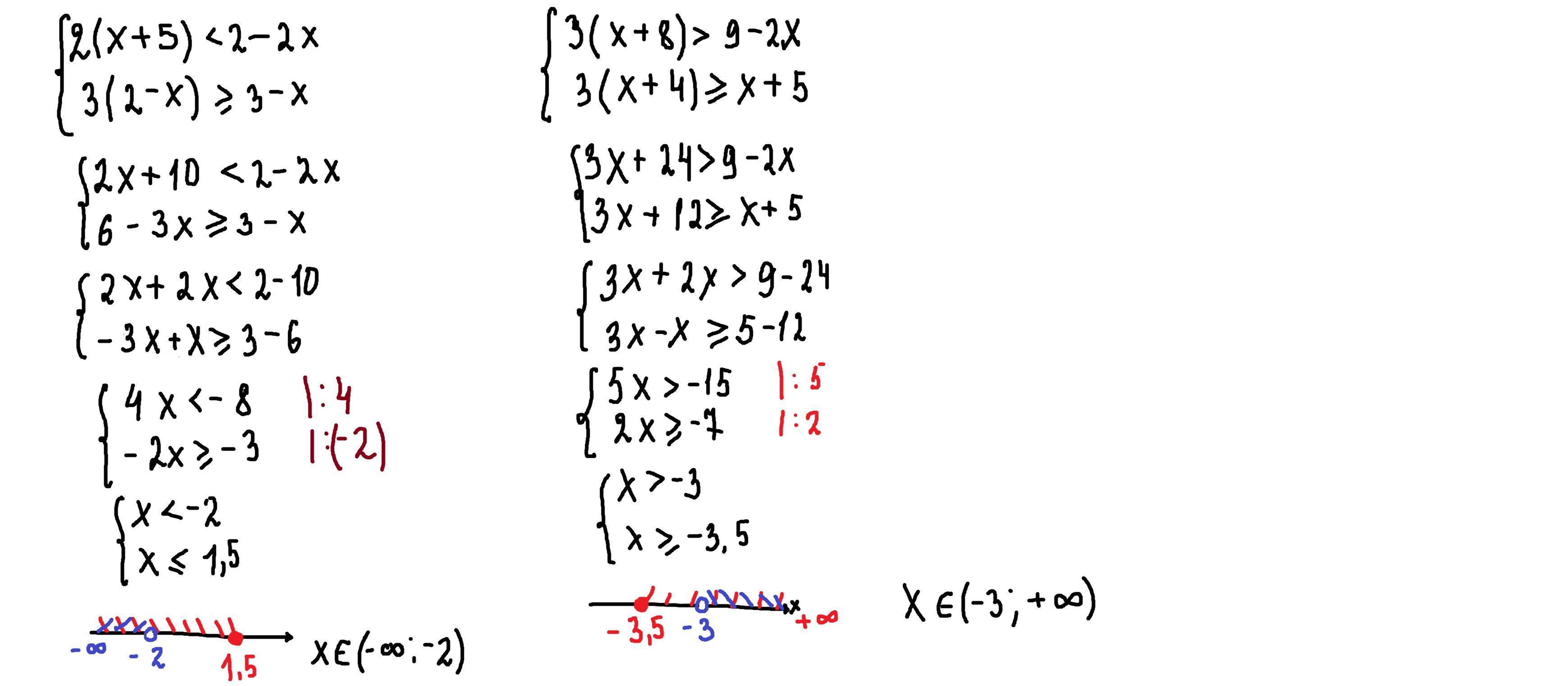
1

1)

1. Открываем скобки                2. С иксом влево, без икса вправо

2х+10 меньше 2-2х                     2х+2х меньше 2-10

6-3х больше или равно 3-х      -3х+х больше или равно 3-6

3. Решаем                                  

4х меньше -8                                   х=-2

-2х больше или равно -3              х меньше или равно 3/2

Следовательно, х принадлежит от минус бесконечности до -2, круглыми скобками

2)

1. Открываем скобки                 2. С иксом влево, без икса вправо

3х+24 больше 9-2х                         3х+2х больше 9-24

3х+12 больше или равно х+5       3х-х больше или равно 5-12

3. Решаем

5х больше -15                                    х больше -3

2х больше или равно -7                  х больше или равно -7/2

Следовательно, х принадлежит от минус трех ( круглая скобка ) до плюс бесконечности( круглая скобка)

Ответ дал: parus77
1

Ответ:

Пошаговое объяснение:

решение  внизу

где не понятно-спрашивайте

Приложения:
Вас заинтересует