• Предмет: Алгебра
  • Автор: polinka250706
  • Вопрос задан 7 лет назад

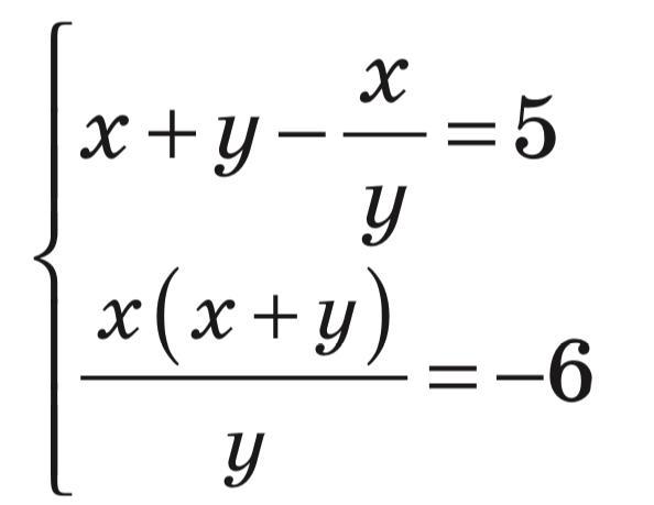
Розв’яжіть аналітичним способом систему рівнянь:

Приложения:

Ответы

Ответ дал: fenix6810
0

Ответ:

(3;-1)  (6;-3)

Объяснение:

теорема Виета

x+y=2          x+y=2   -3y+y=2  -2y=2  y=-1

-x/y=3          x/y=-3  x=-3y  x=3   (3;-1)

x+y=3    x+y=3   -y=3  y=-3

-x/y=2   x=-2y             x=6


polinka250706: Спасибки ☺️
Вас заинтересует