• Предмет: Алгебра
  • Автор: sukurzanovanazira189
  • Вопрос задан 7 лет назад

Пожалуйста помогите срочно нужен ответ ​

Приложения:

Ответы

Ответ дал: parus77
1

Ответ:

Объяснение:

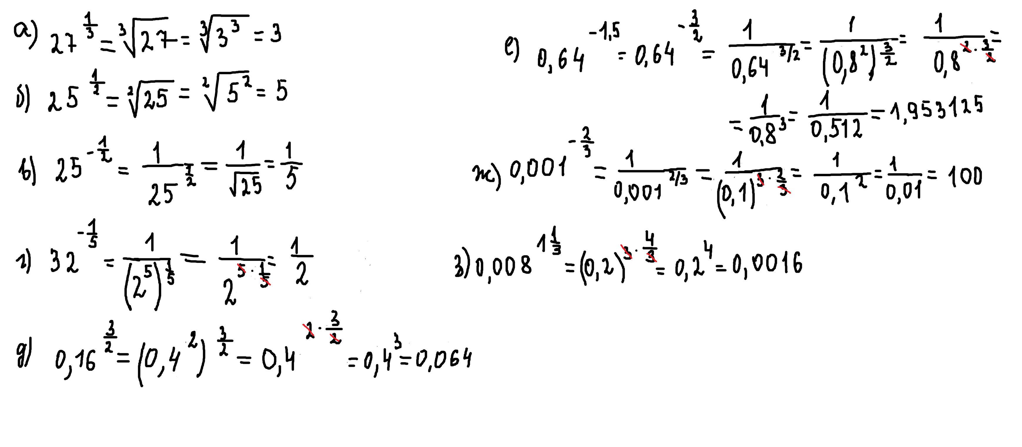
решение внизу,где не понятно -спрашивайте

Приложения:
Вас заинтересует