• Предмет: Алгебра
  • Автор: LazyBookworm
  • Вопрос задан 7 лет назад

Пожалуйста, помогите решить логарифмическое уравнение :)
Задание на фото

Приложения:

Ответы

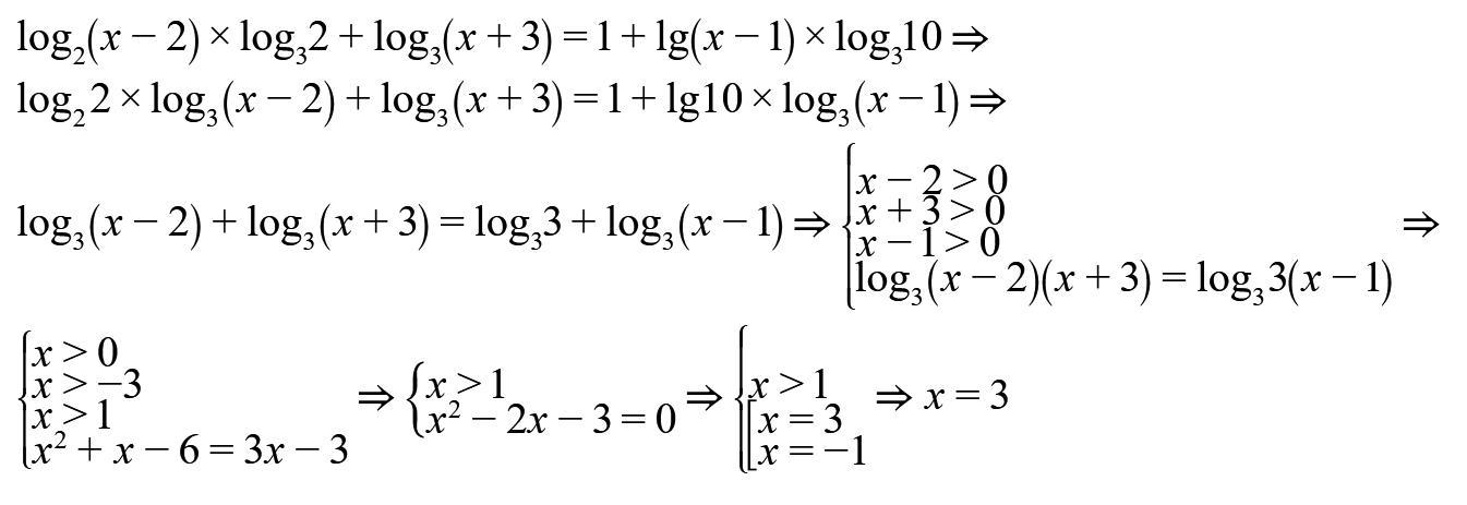
Ответ дал: palilov243659
1

Ответ:

x=3

Объяснение:

/////////////////////

Приложения:

dfgddffxx: здравствуйте, помогите пожалуйста решить задачу по т вероятности
Вас заинтересует