• Предмет: Математика
  • Автор: aboba7163726
  • Вопрос задан 7 лет назад

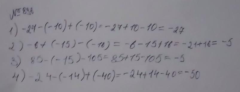
пожалуйста помогите!!! ответьте!​

Приложения:

Ответы

Ответ дал: anar100889
0

Пошаговое объяснение:

это можно решить даже в калкуляторе

Приложения:
Вас заинтересует