Ответы
Ответ дал:
1
Ответ:
Объяснение:
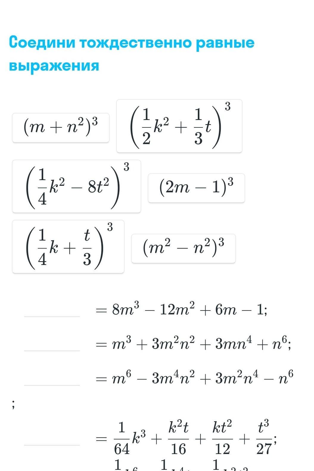
Формулы сокращенного умножения
Приложения:


Вас заинтересует
2 года назад
8 лет назад
8 лет назад
9 лет назад