• Предмет: Алгебра
  • Автор: ilyaopalon
  • Вопрос задан 7 лет назад

как найти общее решение дифференциального уравнения, подробно
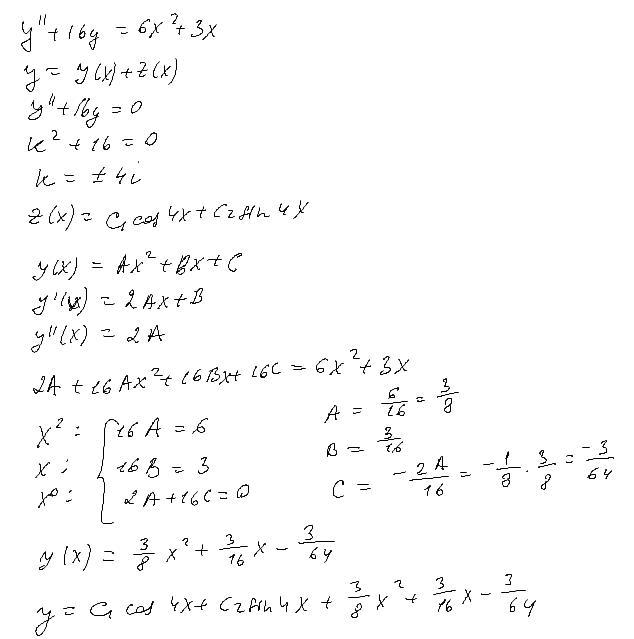
y'' + 16y = 6x2 + 3x

Ответы

Ответ дал: dashulka22222
0

Ответ:

Объяснение:

общее решение состоит из частного решения и общего решения соответствующего однородного уравнения

Приложения:
Вас заинтересует