• Предмет: Алгебра
  • Автор: polivca228
  • Вопрос задан 7 лет назад

вариант 1
все 3 задания помогите

Приложения:

Ответы

Ответ дал: dashulka22222
0

Ответ:

Объяснение:

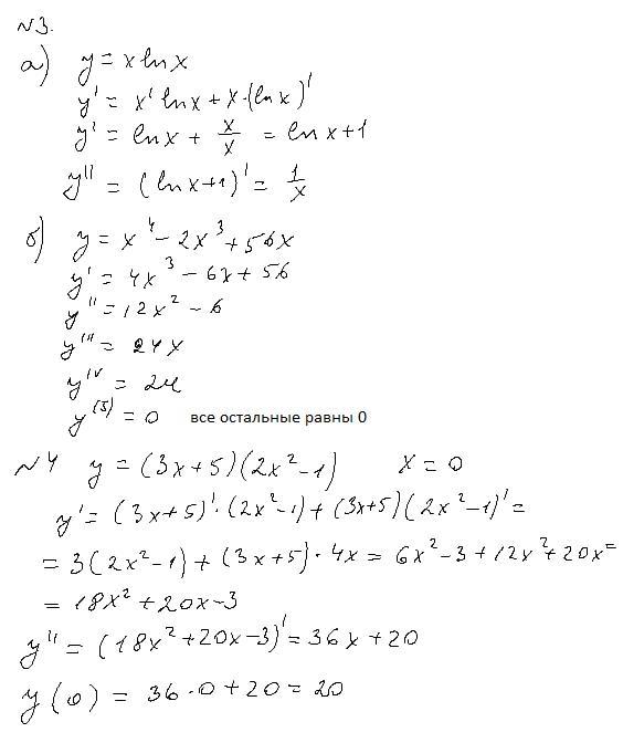
на листике

Приложения:
Вас заинтересует