• Предмет: Алгебра
  • Автор: warlosakk
  • Вопрос задан 7 лет назад

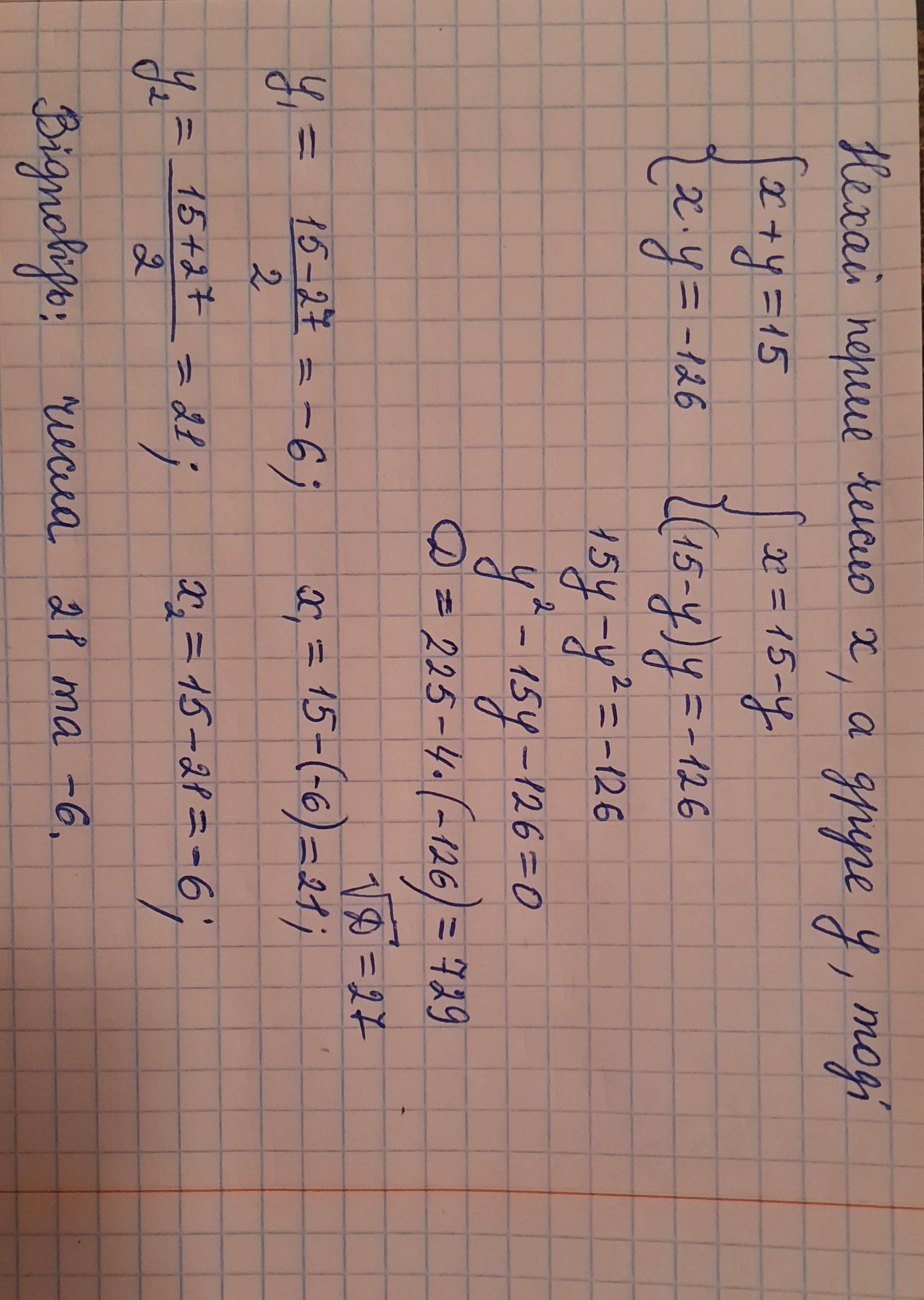
знайдить два числа сума яких 15 а добуток -126


Nelia2019: то 126 чи мінус 126?

Ответы

Ответ дал: Nelia2019
0

Відповідь: числа 21 та -6.

Пояснення: система рівнянь складена на фото

Приложения:
Вас заинтересует