Ответы
Ответ дал:
1
Ответ:
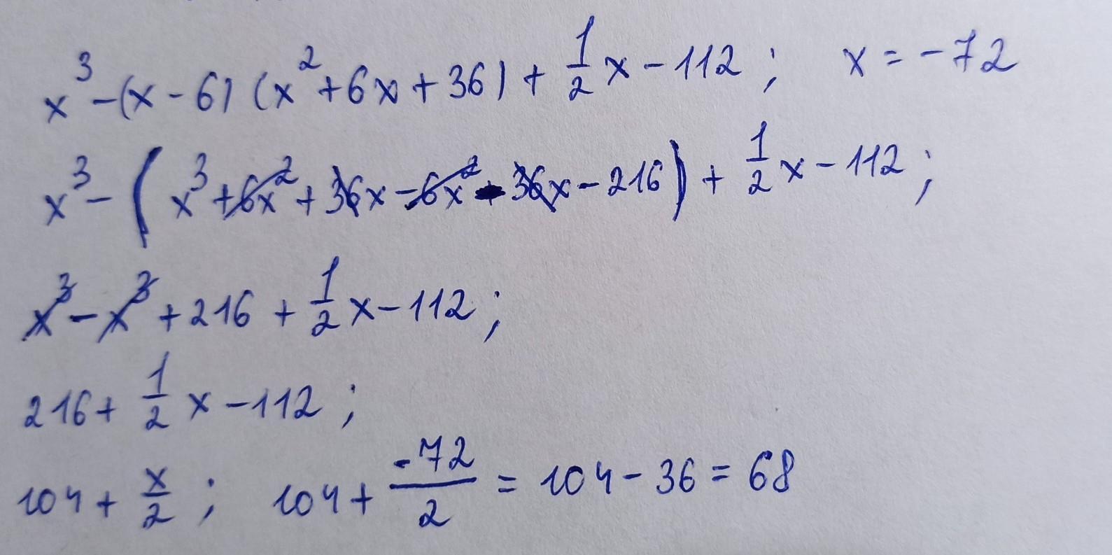
68
Объяснение прикреплено в файле.
Приложения:

tetanal853:
Спасибо!
Вас заинтересует
2 года назад
2 года назад
2 года назад
2 года назад
8 лет назад
9 лет назад