• Предмет: Алгебра
  • Автор: podkopaevgleb05
  • Вопрос задан 7 лет назад

Срочно ПОМОГИТЕ решить ​

Приложения:

Ответы

Ответ дал: akerkesisenova099
2

Ответ:

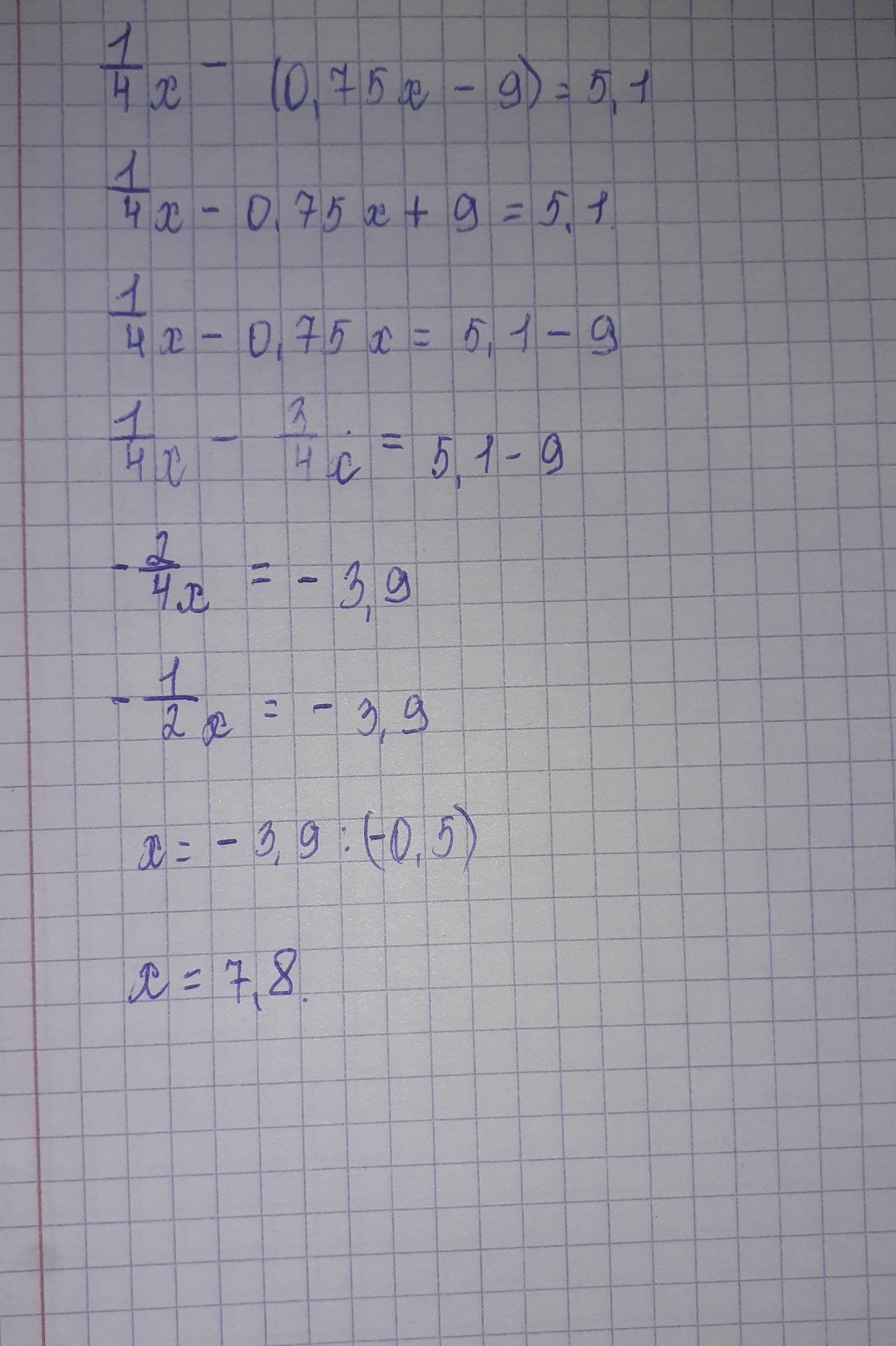
получилось 7,8 думаю верно

Приложения:
Ответ дал: stella6764
0
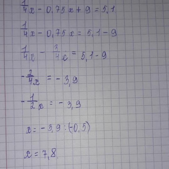
Вот тут всё правильно решено
Приложения:
Вас заинтересует