• Предмет: Геометрия
  • Автор: supercoolswee
  • Вопрос задан 10 лет назад

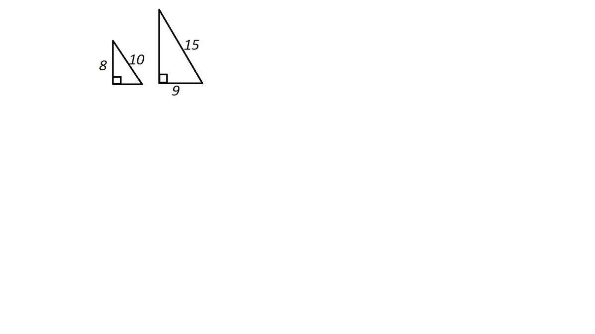
Подобны ли треугольники,изображённые на рисунки?
Почему? 

Приложения:

Ответы

Ответ дал: Таша14
0
Невозможно утверждать или определить, т.к. для подобия нужно две те же стороны с углом между ними, в данном случае дано два разных катета, еще и лишняя гипотенуза!
Вас заинтересует