• Предмет: Алгебра
  • Автор: bjnovi17
  • Вопрос задан 7 лет назад

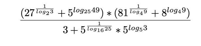
Решите, пожалуйста. Срочно прям надо!!!!

Приложения:

zaicevad163: кнопки ответа нет((

Ответы

Ответ дал: zaicevad163
0

Объяснение:

ну я пыталась хоть как то помочь, пожтрму держи

Приложения:
Вас заинтересует