Ответы
Ответ дал:
0
Ответ:
Ответ дал:
0
Ответ:
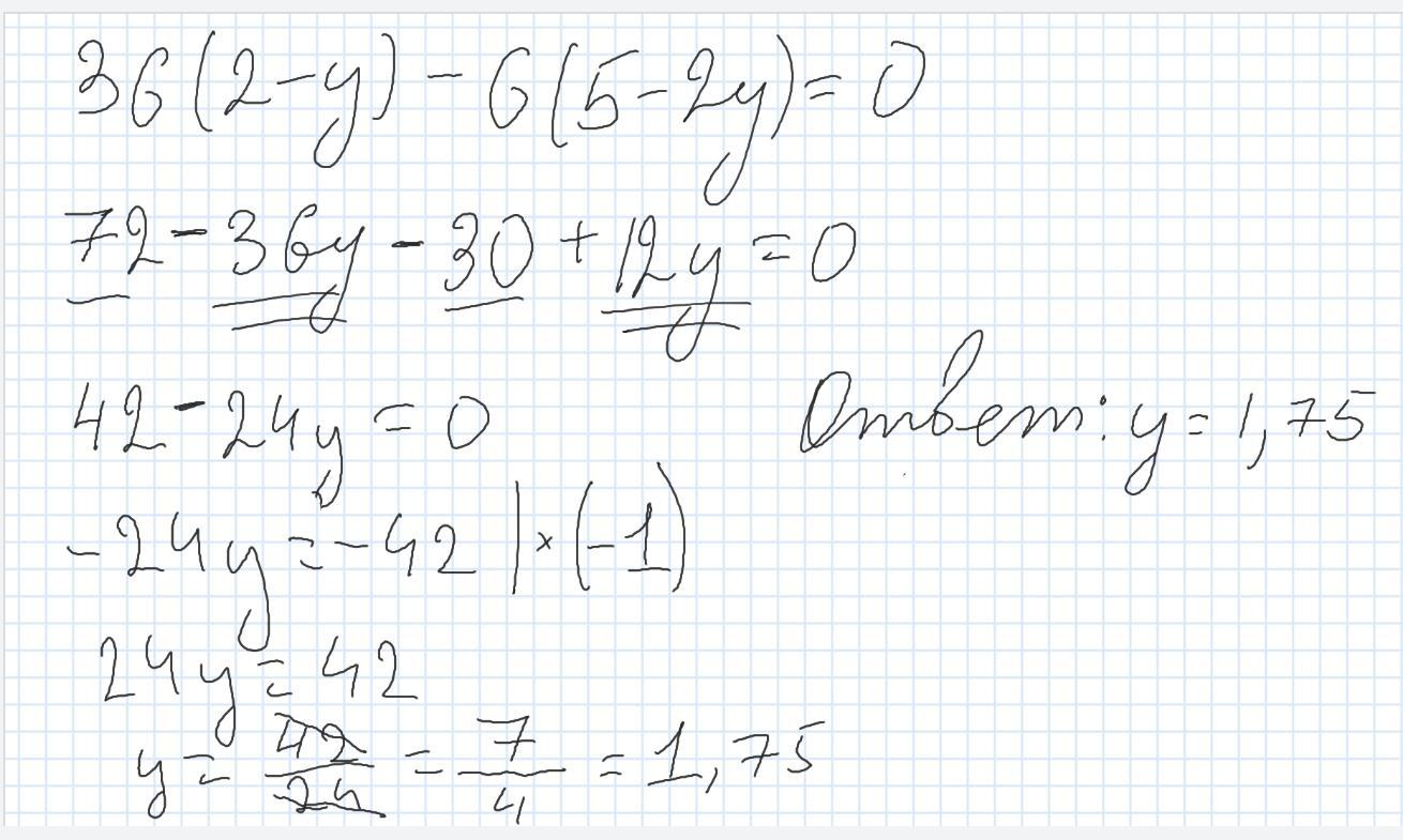
Объяснение:
Ну вроде как-то так...
Приложения:

Вас заинтересует
2 года назад
2 года назад
2 года назад
2 года назад
8 лет назад
8 лет назад