• Предмет: Математика
  • Автор: sanchikmanchik777
  • Вопрос задан 7 лет назад

Помогите пж пж пж пж пж пж пж пж пж пж пж

Приложения:

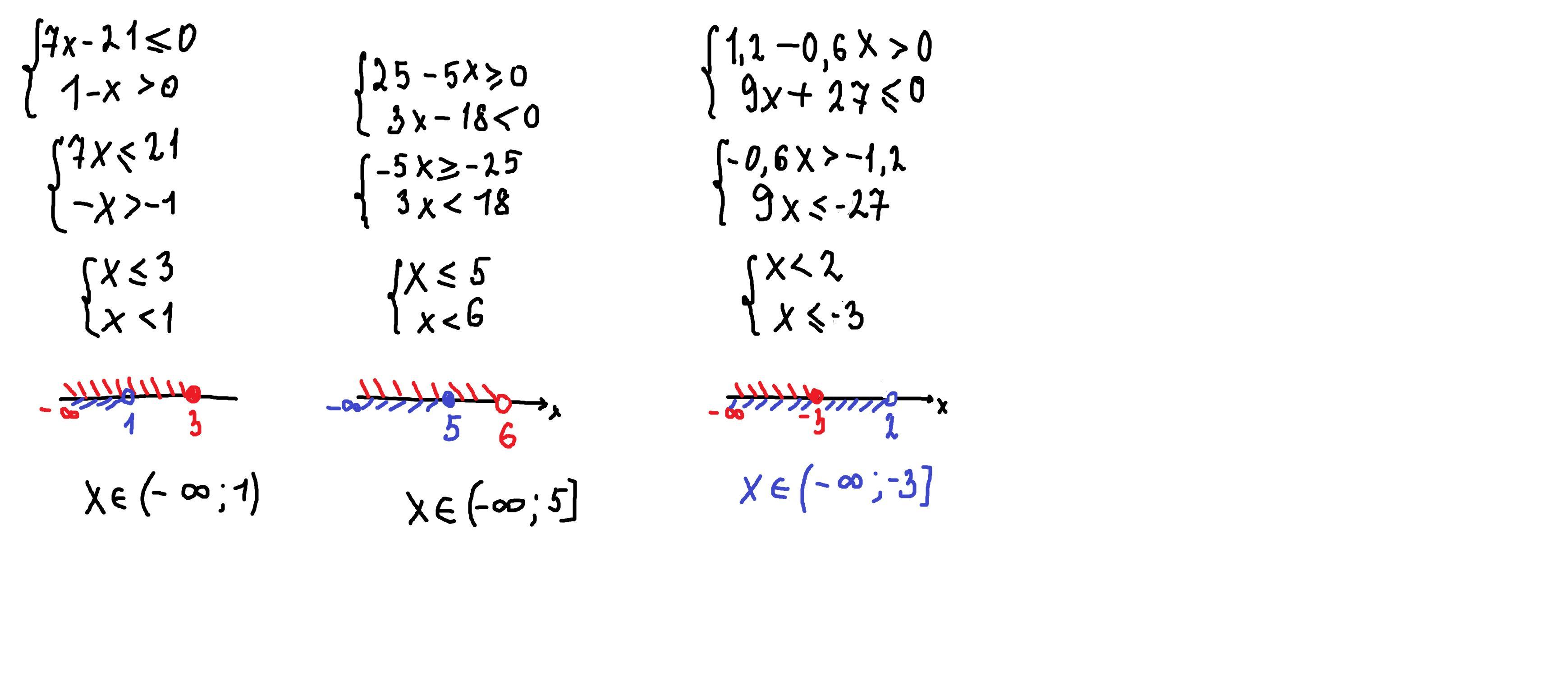
parus77: - - 17x - 21 0 2) 25 - 5 x > 0, 3 x - 18 < 0; 3) 1,2 – 0,6 x > 0, 9x + 27 < 0. 1029. Можете отделить неравенства ; чтобы было понятно,что и где.
sanchikmanchik777: помоги пж

Ответы

Ответ дал: parus77
1

Ответ:

Пошаговое объяснение:

решение внизу

Приложения:
Вас заинтересует