Ответы
Ответ дал:
0
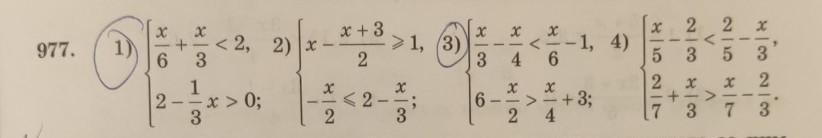
Вот. Мне кажется правильно
Приложения:


Вас заинтересует
2 года назад
2 года назад
2 года назад
8 лет назад
8 лет назад