• Предмет: Алгебра
  • Автор: pavelmarisoviv
  • Вопрос задан 7 лет назад

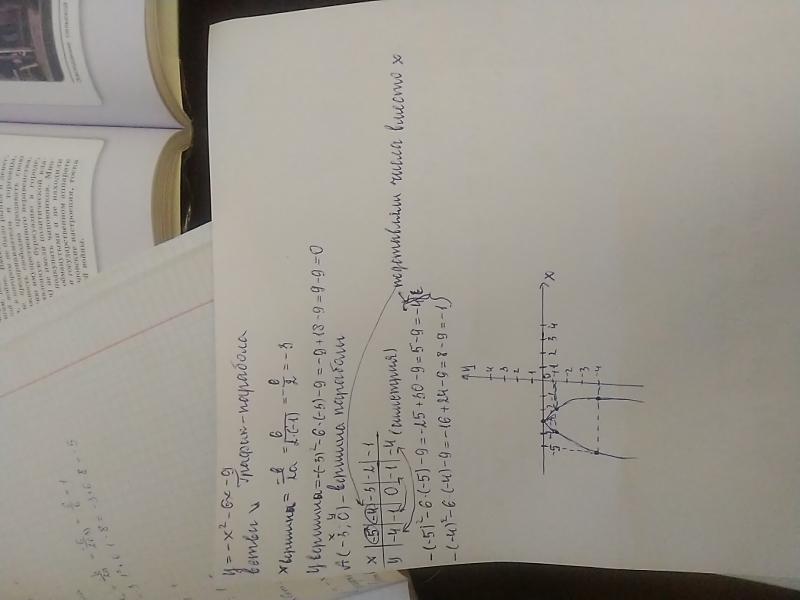
Постройте график y=-x^2-6x-9

Ответы

Ответ дал: ludmilaksenija2005
1

Объяснение:

У= - х^2-6х-9

Х - 5 - 4 - 3 - 2 - 1

У - 4 - 1 0 - 1 - 4

Приложения:
Ответ дал: LLawliet02
1

Ответ:

На фото решение

Объяснение:

Приложения:
Вас заинтересует