Ответы
Ответ дал:
1
Объяснение:
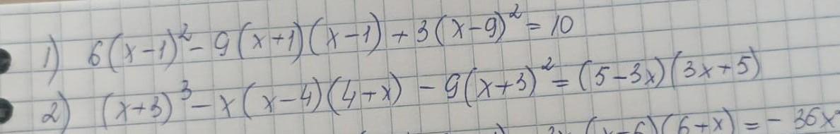
решения смотри на фотографиях
Приложения:


Вас заинтересует
2 года назад
2 года назад
8 лет назад
8 лет назад
9 лет назад
9 лет назад