Ответы
Ответ дал:
1
Ответ 2
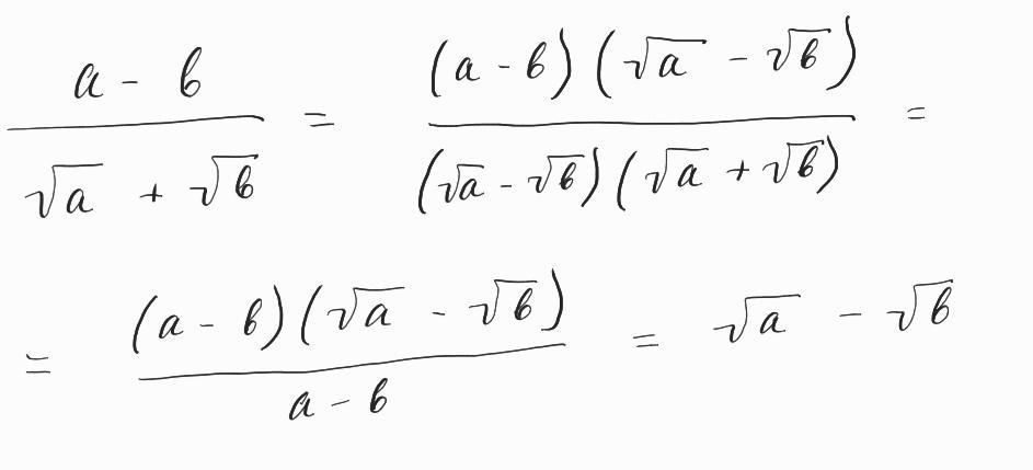
решение представлено на фото
Приложения:

Ответ дал:
0
1.
Цщосщцопзоцилцрзлхцпл91п
Вас заинтересует
2 года назад
2 года назад
2 года назад
2 года назад
8 лет назад
8 лет назад
9 лет назад
9 лет назад