• Предмет: Математика
  • Автор: polina5884
  • Вопрос задан 7 лет назад

5.В первом ряду кинозала 42 места, а в каждом следующем на 4 больше,чем в предыдущем.Сколько мест в седьмом ряду​

Ответы

Ответ дал: alexaprince
1

Ответ:

66 мест

Пошаговое объяснение:

4*6=24 в шести рядах

42+24=66 в седьмом

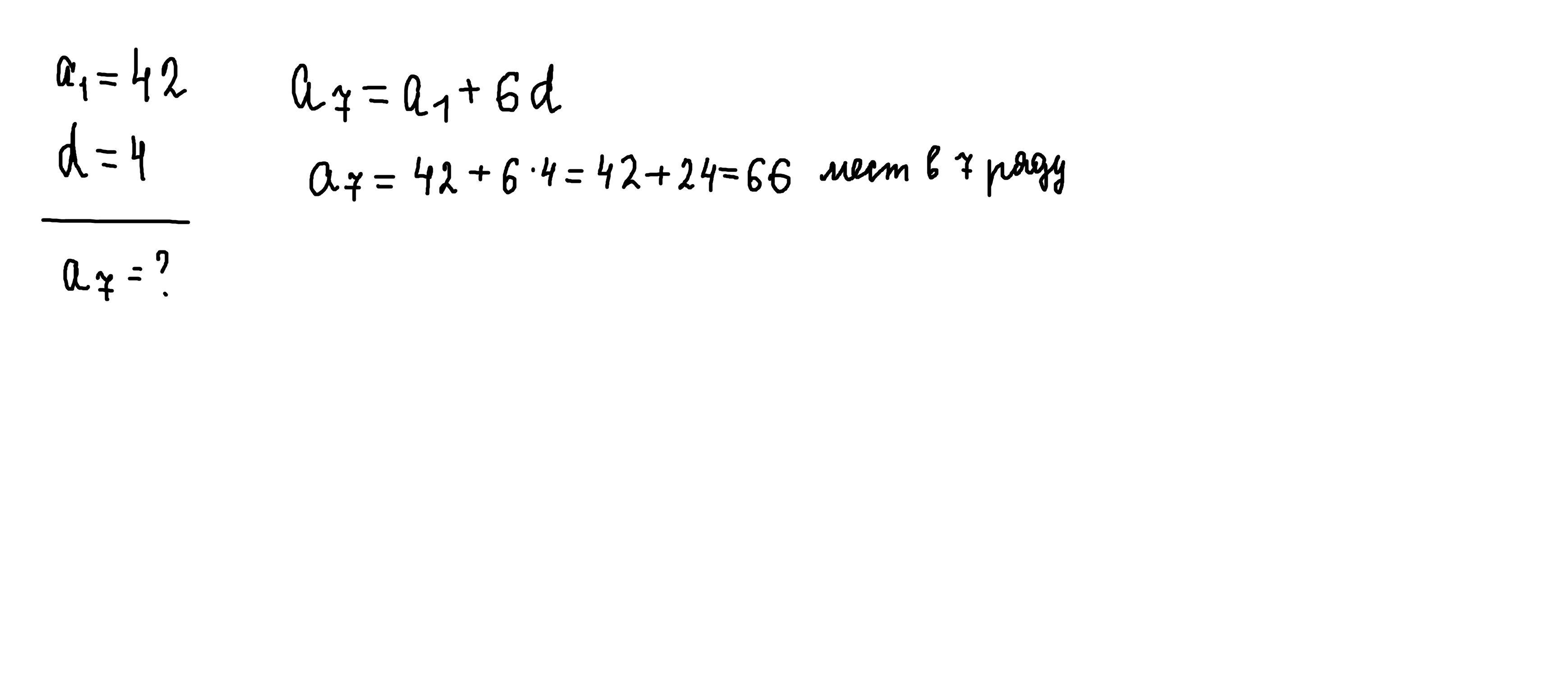
Ответ дал: parus77
2

Ответ:

в 7 ряду 66 мест

Пошаговое объяснение:

это арифметическая прогрессия,у которой первый член равен 42,и разность прогрессии равна 4

Приложения:
Вас заинтересует