• Предмет: Математика
  • Автор: polina5884
  • Вопрос задан 7 лет назад

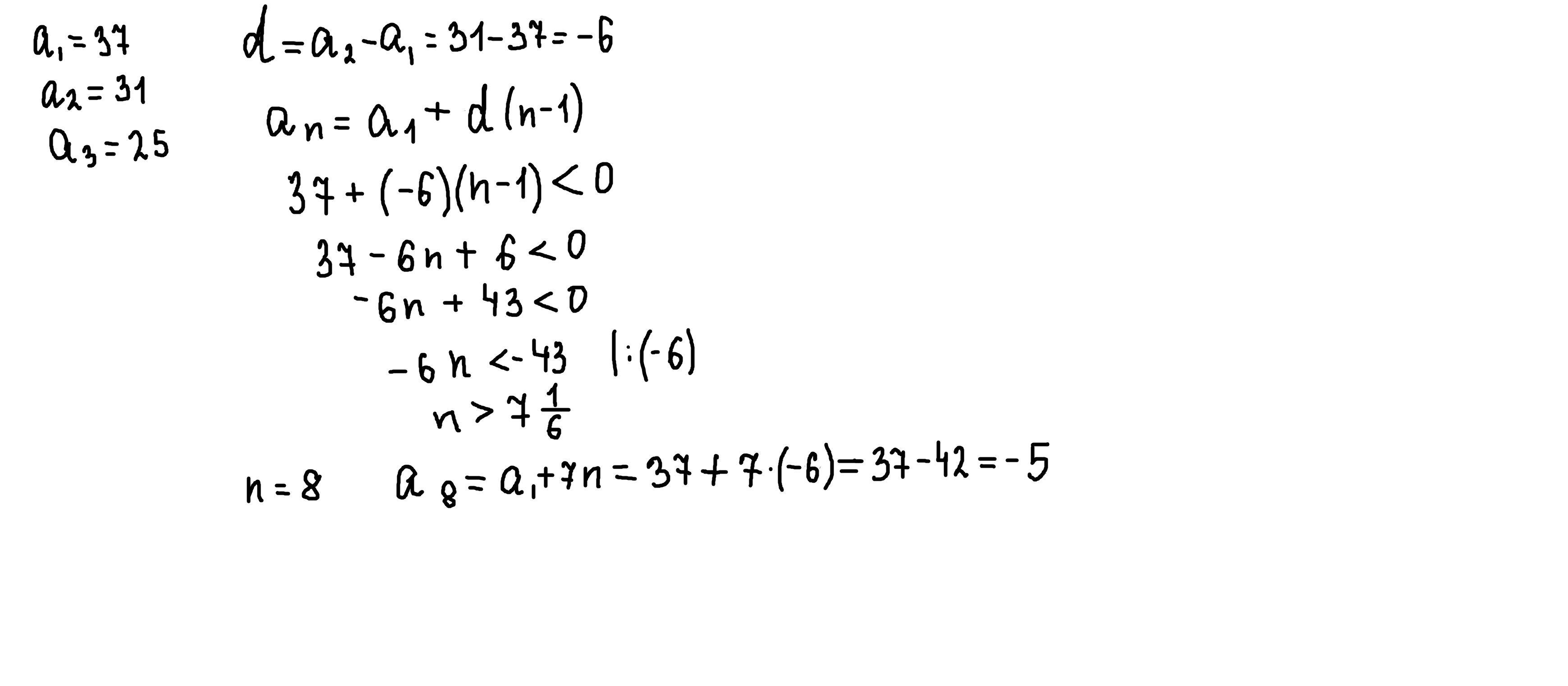
6.Дана арифм прогрессия: 37;31;25;... Найдите первый отрицательный член этой прогрессии ​

Ответы

Ответ дал: parus77
2

Ответ:

а8=-5   это первый отрицательный член прогрессии

Пошаговое объяснение:

сначала найдем разность d

выразим an  через а1 и d

т.к надо найти отрицательный член,то решим неравенство <0

получили n> 7 1/6,значит n=8

Приложения:
Вас заинтересует