хэлппппппппппппппппппппппппппппппппп 6 класс
Приложения:

kirill07041986mirill:
акк просто создавал быстро
Ответы
Ответ дал:
1
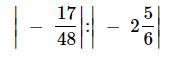
Смотрите прикрепленный файл.
Приложения:

Ответ дал:
0
Пошаговое объяснение:
ответ вот!!!!!!!!!!!!!!
Приложения:

Вас заинтересует
2 года назад
2 года назад
2 года назад
2 года назад
8 лет назад
9 лет назад