• Предмет: Алгебра
  • Автор: rostislavkholod
  • Вопрос задан 7 лет назад

Памагите!!!!!!!!!!!!!!!!!!!!!!!!!!!!

Приложения:

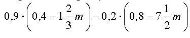
rostislavkholod: Спростіть вираз
rostislavkholod: Спростіть вираз!
rostislavkholod: Спростіть вираз!!
rostislavkholod: Спростіть вираз!!!

Ответы

Ответ дал: svetlanavaslarionova
0

Ответ:

0,39-9/10•5/3m-0,16+2/10•15/2m=0.39-0,16-9•5m/10•3+2•15m/10•2=0,23-3/2m+5=0,23+3 1/2m=0,23+3,5m


rostislavkholod: спростіть вираз
daniil0004: откуда 0,39 в начале?
Ответ дал: daniil0004
0

Ответ:

2 - 3m

Объяснение:

0,9 • (0,4 - (1 2/3)m) - 0,2 • (0,8 - (7 1/2)m) = 3, 6 - ((9/10) • (5/3)m) - 1,6 - ((2/10) • (15/2)m) = 3,6 - 1,5m - 1,6 - 1,5m = 3,6 - 1,6 - 1,5m - 1,5m = 2 - 1,5m - 1,5m = 2 - 3m

Вас заинтересует