• Предмет: Алгебра
  • Автор: arinapetrova168
  • Вопрос задан 7 лет назад

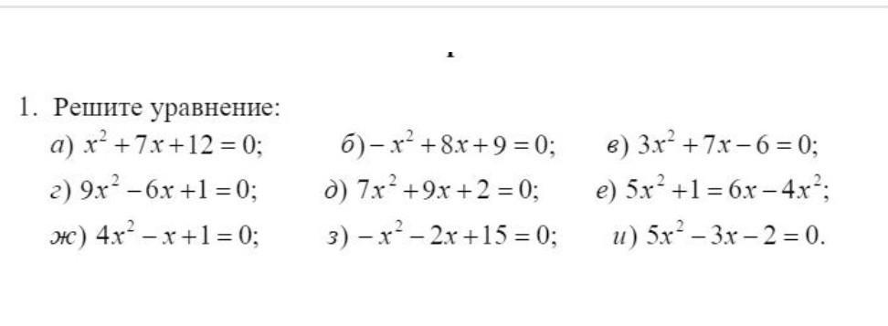
. Решите пожалуйста уравнения 8 класс ​

Приложения:

Ответы

Ответ дал: mvasyukowa
1

Ответ:

x²+7x+12=0

D=49-48=1

x1=-7+ 1=-6

x2=-7-1=-8

-x²+8x+9=0

x²-8x-9=0

D=64+36=100

x1=-1+10=9

x2=-1-10=-11

3x²+7x-6=0

D=49+72=121

x1=-7+11=3

x2=-7-11=-18

9x²-6x+1=0

D=36-36=0

x1=6+0=6

x2=6-0=6

7x²+9x+2=0

D=81-56=25

x1=-9+5=-4

x2=-9-5=-14

5x²+1=6x-4x²

5x²+1-6x+4x²=0

9x²-6x+1=0

D=36-36=0

x=6+-0=6

4x²-x+1=0

D=1-16=-15

Корней нет

-x²-2x+15=0

x²+2x-15=0

D=4+60=64

x1=-2+8=4

x2=-2-8=-10

5x²-3x-2=0

D=9+40=49

x1=3+7=10

x2=3-7=-4

Вас заинтересует