• Предмет: Геометрия
  • Автор: ksofa5276
  • Вопрос задан 7 лет назад

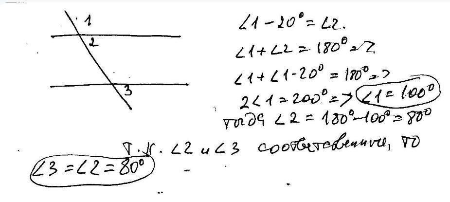
помогите пожалуйста ​

Приложения:

Ответы

Ответ дал: ominafarhodovna92
0

Ответ:

надеюсь помогла, второе не знаю извини

Приложения:
Вас заинтересует