• Предмет: Геометрия
  • Автор: Misha30121994
  • Вопрос задан 11 лет назад

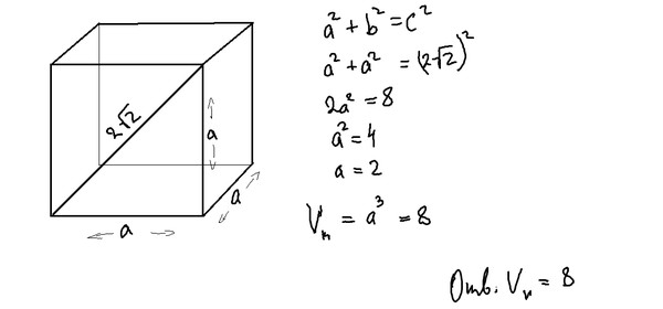
Определите объем вырытой в земле объем конической воронки, образующая которой равна 2 м, а длина окружности 8 м.

Ответы

Ответ дал: ArturGlushkov
0

Ответ: V=8 

ниже решение! 

Приложения:
Вас заинтересует