• Предмет: Алгебра
  • Автор: Susenko19
  • Вопрос задан 7 лет назад

Срочно надо,заранее благодарю
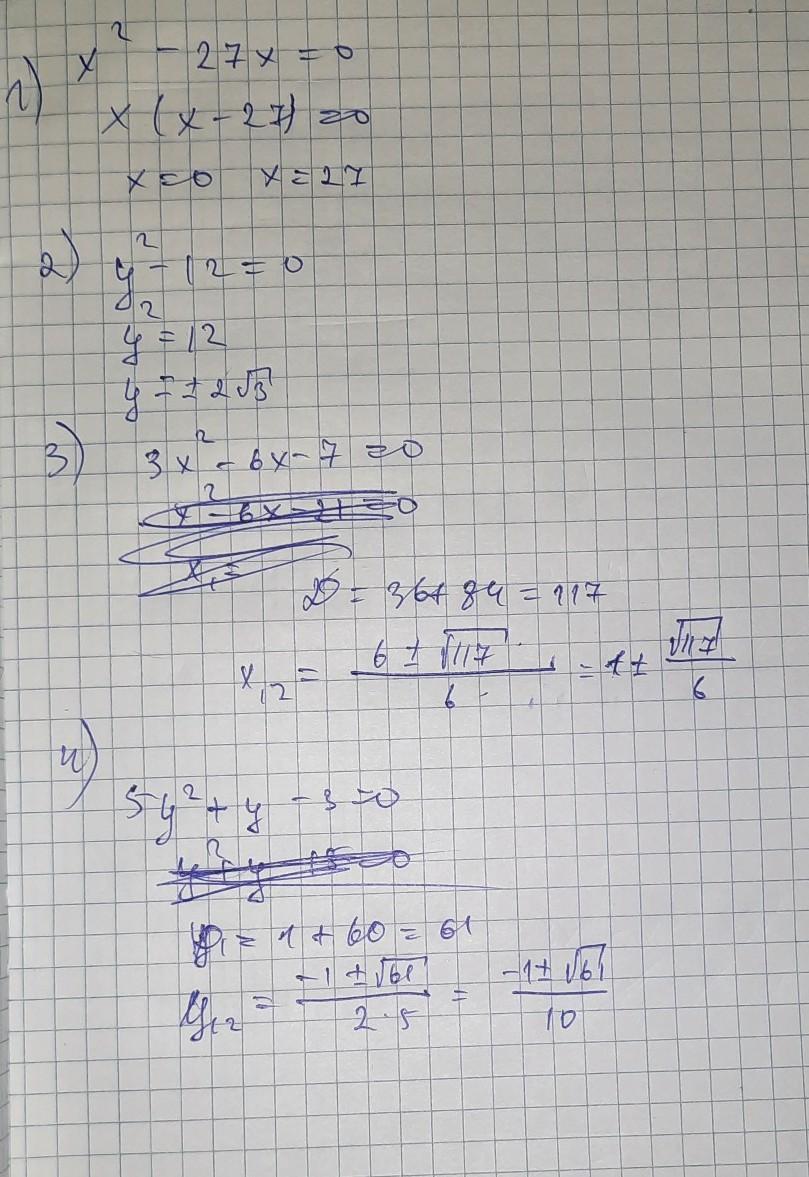
a)x(во 2 степени)-27x=0
б)y(во 2 степени)-12=0
в)3x(во 2 степени)-6x-7=0
г)5y(во 2 степ)+y-3=0

Ответы

Ответ дал: MRBE04AK47
1

Ответ:

...........................

Приложения:

gyd1ni: Вроде в 3 D=корень из 120?
MRBE04AK47: да мой косяк
MRBE04AK47: посчитал 81
gyd1ni: бывает)
Ответ дал: gyd1ni
1

Ответ:

a) X^2-27x=0
x(x-27)=0
x = 0 или x-27=0 => x=0 или x=27
б)y^2-12=0
y^2=12
y=+-
\sqrt{12}
в)3x^2-6x-7=0
D=36+12*7=120=
\sqrt{120}
x1,2=(6+-
\sqrt{120})/6 = 1-  \sqrt{30}/3;1+  \sqrt{30}/3
г)5y^2+y-3=0
D=1^2+4*5*3=
\sqrt{61}
y1,2=(-1+-
\sqrt{61})/10=>y1=(-1+\sqrt{61}/10); y2=(-1-\sqrt{61})/10

Объяснение:

Вас заинтересует