• Предмет: Геометрия
  • Автор: abobaabeme
  • Вопрос задан 7 лет назад

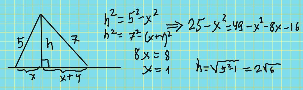
З точки до прямоï проведено дві похилі, довжини яких дорівнюють 5 см і 7 см, а різниця їх проекцiй на цю пряму 4 см. Знайдіть відстань від точки до даноï прямої.​

Ответы

Ответ дал: zybkov1950
0

Ответ: 2\sqrt{6}

Объяснение: Див. додаток

Приложения:
Вас заинтересует