• Предмет: Алгебра
  • Автор: meermanovnurbek31
  • Вопрос задан 7 лет назад

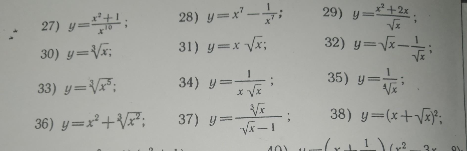
ПОЖАЛУЙСТА ПОМОГИТЕ ОЧЕНЬ СРОЧНО НАДО ПОЖАЛУЙСТА!!! ВЫЧИСЛИТЕ производные: (27;28;29)​

Приложения:

Ответы

Ответ дал: NNNLLL54
1

Ответ:

27)\ \ y=\dfrac{x^2+1}{x^{10}}\ \ \to \ \ \ y=x^{-8}+x^{-10}\ \ ,\qquad \qquad \boxed{\ (x^{n})'=n\cdot x^{n-1}\ }\\\\y'=-8x^{-9}-10x^{-11}=-\dfrac{8}{x^9}-\dfrac{10}{x^{11}}\\\\\\28)\ \ y=x^7-\dfrac{1}{x^7}\ \ \ \to \ \ \ y=x^7-x^{-7}\\\\y'=7x^6-(-7)\cdot x^{-8}=7x^6+\dfrac{7}{x^8}\\\\\\29)\ \ y=\dfrac{x^2+2x}{\sqrt{x}}\ \ \ \to \ \ \ y=x^{3/2}+2x^{1/2}\\\\y'=\dfrac{3}{2}\cdot x^{\frac{1}{2}}+2\cdot \dfrac{1}{2}\cdot x^{-\frac{1}{2}} =\dfrac{3}{2}\cdot \sqrt{x}+\dfrac{1}{\sqrt{x}}

Вас заинтересует