Ответы
Ответ дал:
2
Ответ:
16
Пошаговое объяснение:
из второго уравнения имеем: у = 36 - 3х
подставляем в первое: 2х - (36-3х) = 14
имеем: х = 10
у = 36 - 3х = 36 - 30 = 6
у = 6
следовательно, их сумма = 10+6=16.
Ответ дал:
0
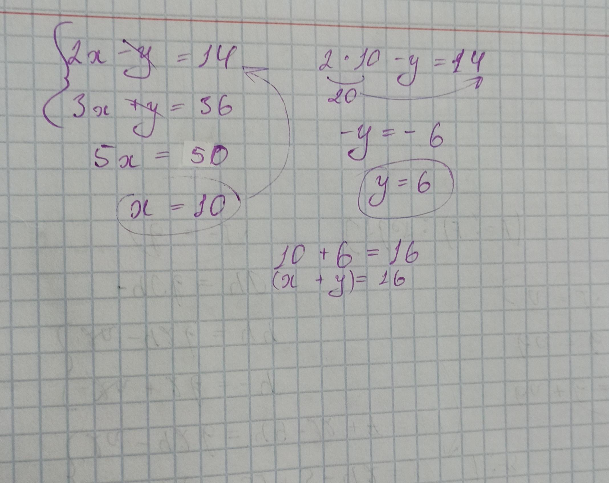
Ответ: х+у = 16
Пошаговое объяснение:
Приложения:

Вас заинтересует
2 года назад
8 лет назад
9 лет назад