• Предмет: Геометрия
  • Автор: 5kripka
  • Вопрос задан 7 лет назад

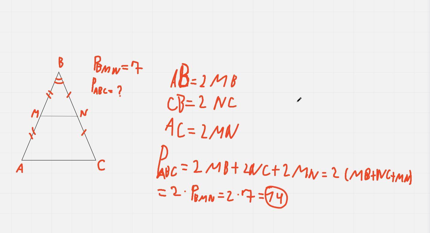
В треугольнике ABC проведена средняя линия MN, точка M лежит на стороне AB, точка N - на стороне BC. Периметр треугольника BMN - 7 см.


Определи периметр треугольника ABC.


Рисунка нет! Даю 30 баллов. Срочно!

Ответы

Ответ дал: gyd1ni
19

Ответ:

Всё на фото ниже

Объяснение:

Приложения:
Вас заинтересует