• Предмет: Физика
  • Автор: MRIntheplace
  • Вопрос задан 7 лет назад

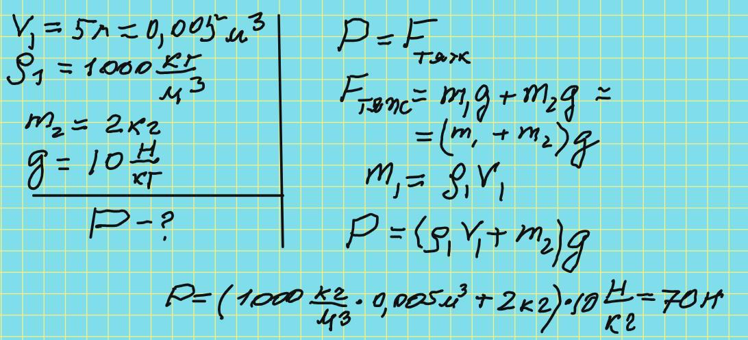
З якою силою діє на підлогу п'ятилітрове відро з водою, якщо маса порожнього відра 2 кг? Густина води 1000 кг/м³.​

Ответы

Ответ дал: zybkov1950
1

Ответ: 70 Н

Объяснение:  Див. додаток

Приложения:
Вас заинтересует