Ответы
Ответ дал:
1
Ответ:
Объяснение:
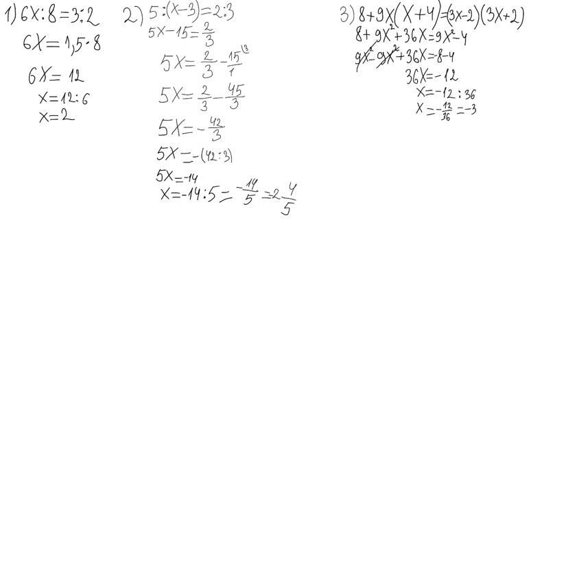
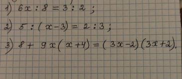
1) 6x÷8=3÷2
6x=3/2*8/1
6x=24/2
6x=12
x=12÷6
x=2
2) 5÷(x-3)=2÷3
x-3=2/3*5/1
x=10/3+3/1
x=10/3+9/3
x=19/3
x= 6 1/3
^ - возведение в степень
3) 8+9x (x+4)=(3x-2)(3x+2)
8+9x^2+36x=9x^2-4
9x^2+36x-9x^2= -4-8
36x= -12
x= -12÷36
x= -1/3
Ответ дал:
1
Надеюсь я вам понятно написала
Приложения:

Вас заинтересует
2 года назад
2 года назад
2 года назад
2 года назад
8 лет назад
8 лет назад