• Предмет: Алгебра
  • Автор: anik200579
  • Вопрос задан 7 лет назад

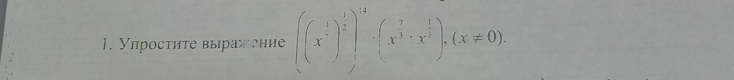
помогите упростить выражение. пожалуйста ​

Приложения:

Ответы

Ответ дал: m11m
2

Ответ:

!!!!!!!!!!!!!!!!!!!!!!!!!!!!!

Объяснение:

Приложения:

suigemar86: Желаю вам 1,000,000 баллов! А сейчас поздравляю с 600к!)❤
Вас заинтересует